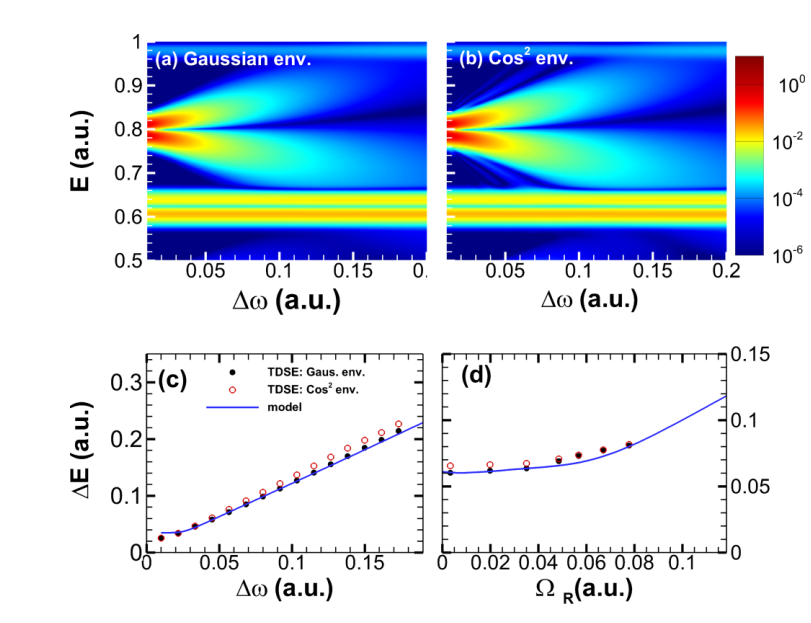
传统的Autler-Towens(AT)分裂中,双峰的间距完全由初态拉比振荡的频率决定。我们采用泵浦探测方案,采用超短激光脉冲,发现了反常规的AT分裂现象,该分裂间距远超传统AT分裂图像给出的双峰间距。我们采用一束泵浦光在原子内部诱导出拉比振荡,另外采用一束超短激光脉冲作为探测光并将其置于基态拉比振荡布局数为零的时间点。此时我们观测到探测光电离出的光电子的能谱上出现反常AT分裂,并且该AT分裂的间距由探测光的频谱宽度和拉比振荡的频率共同决定。我们从理论上给出了描述反常AT分裂的解析公式。我们发现的AT分裂的动态增强对泵浦光和探测光的延迟非常敏感。该现象广泛存在于原子、分子、固体、量子点等各类系统中,有望通过现有的实验条件获得验证。研究成果发表于Phys. Rev. Research 3, L032052,2021。

