近日,深圳大学物理与光电工程学院和量子精密测量研究所姜维超副教授课题组、北京大学彭良友教授课题组联合奥地利维也纳技术大学Joachim Burgdörfer教授课题组以“Time Delays as Attosecond Probe of Interelectronic Coherence and Entanglement”为题在《Physical Review Letters》杂志上发表最新理论研究成果,研究首次揭示了氦原子在强阿秒激光脉冲下的电离延时机制。
2023年诺贝尔物理学奖授予了美国俄亥俄州立大学的Pierre Agostini、德国马普学会量子光学研究所和慕尼黑大学的Ferenc Krausz、瑞典隆德大学的Anne L’Huillier,以表彰他们“开发了阿秒光脉冲的实验方法,以研究物质中的电子动力学”。阿秒脉冲的一个重要应用是确定光电离的“时间零点”,即电离电子的波包离开离子核的时间延迟。这一过程对于理解原子和分子在强激光场中的行为至关重要。传统的实验技术难以捕捉到如此短暂的时间延迟,但近年来,阿秒条纹相机(attosecond streaking)和通过双光子跃迁干涉(RABBIT)技术的出现,使得观察阿秒量级的电离延时成为可能。受限于现有的阿秒脉冲的强度,目前的实验测量主要针对一阶微扰电离过程。

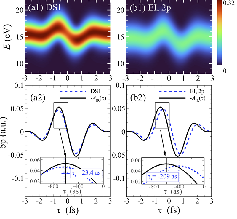
图1:直接电离通道(DSI)与激发电离通道(EI)的阿秒条纹谱。
研究团队通过数值精确求解含时薛定谔方程的方法,对氦原子在强阿秒脉冲下非微扰区域的电离延时以及阿秒条纹相机谱进行了理论研究。他们将阿秒脉冲的光子能量限定在40 eV。当阿秒脉冲的强度足够高时,阿秒脉冲可以在He+的基态和第一激发态之间诱导出拉比振荡,从而从He原子中发射两种单电离双电子波包。这两种单电离双电子波包对应的自由电子具有相近的能量,而其对应的束缚态电子则分别处于He+的基态(直接电离通道)和第一激发态(激发电离通道)。理论研究发现,两个电离通道产生的光电子的电离延时差异很大,且均对阿秒脉冲的强度和长度十分敏感。传统在线性微扰区域建立的电离延时图像不再适用。为了解析这种有趣且复杂的非线性电离延时,研究团队构建了“条件双电子(CTE)”模型,直观呈现了光电子的电离延时如何受到He+束缚态电子的拉比振荡的调制。CTE模型给出的半解析电离延时结果与数值求解含时薛定谔方程得到的电离延时结果完美相符。
根据现有的实验测量技术,同时测量自由电子的动能与束缚电子所处的能级尚有不小的难度。当实验测量不去区分直接电离通道与激发电离通道时,实验实际测量的是两种电离通道非相干叠加的结果。光强较低时,实验测量到的光电离延时反映直接电离通道的电离延时。随着光强的增强,实验测量到的电离延时来自两种电离通道的共同贡献。 研究团队将实验测量电离延时与光强的依赖关系与光电子波包“纯度”与光强的依赖关系作了对比,发现二者高度相关。因此,光电离延时可以在一定程度上反映该多体系统的纠缠度的演化。
该研究于2024年10月15号发表于《Physical Review Letters》,深圳大学为第一单位,深圳大学姜维超副教授为论文第一兼共同通讯作者。北京大学教授、深圳大学访问教授彭良友为论文共同通讯作者。维也纳技术大学教授、深圳大学名誉教授Joachim Burgdörfer为论文合作者。论文作者还包括深圳大学硕士生钟铭宸、北京大学博士生方永康、维也纳技术大学Iva Brezinová教授和Stefan Donsa博士。DOI: https://doi.org/10.1103/PhysRevLett.133.163201